What is a water gun in a heating system? The hydraulic and temperature buffer, which provides the processes of correlation of supply / return temperatures and an ordered maximum flow of the coolant, is called a hydraulic arrow. An article on the topic: "Hydrostrelka: principle of operation, purpose and calculations" reveals the essence of the hydraulic separation of heating circuits.
Content
- 1 Why do I need a hydraulic arrow in the heating system?
- 2 Heating water arrow device
- 3 Additional functions of hydraulic arrows
- 4 The principle of operation of a hydraulic arrow in the heating system of a private house
- 5 Methods for calculating a hydraulic arrow in the heating system of a private house
- 6 Combining a heating manifold with a hydraulic arrow
Why do I need a hydraulic arrow in the heating system?
It is very simple to explain why a water gun is needed for heating. The processes of imbalance in heat supply are familiar to owners of private houses. A modern boiler has a circuit that is smaller in volume than the consumer's circulation flow. The operation of the heating hydraulic arrow allows to separate the hydraulic circuit of the heat generator from the secondary circuit, increase the reliability and quality of the system.
The answer to the question: "What is the use of a hydraulic arrow in the heating system?" Is the list of advantages of heating with a hydraulic thermal separator:
- a separator is a prerequisite for the equipment manufacturer to guarantee maintenance for a boiler with a capacity of 50 kW or more, or a heat generator with a cast iron heat exchanger;
- the unit provides the maximum flow with a laminar flow of the coolant, maintains the hydraulic and temperature balance of the heating system;
- parallel connection of the heating water arrow and the consumer circuit creates minimal losses of pressure, productivity and heat energy;
- the knee arrangement of the supply-return pipes ensures the temperature gradient of the secondary circuits;

The flow diagram of the coolant in manifold with hydraulic arrow
- optimal selection and calculation of a hydraulic arrow for heating protects the boiler from the difference in flow-return temperatures, protects equipment from thermal shock, equalizes the circulation volume of water flows in the primary and secondary circuits;
- the unit increases the boiler efficiency, allows secondary circulation of a part of the coolant in the boiler circuit, saves electricity and fuel;
- the mix maintains a constant volume of boiler water;
- in case of emergency, the separator compensates for the flow deficit in the secondary circuit;
- the hollow separator reduces the effect of pumps with different kW power on the secondary circuits and the boiler;
- additional functions of the hydraulic separator - reduces hydraulic resistance, creates conditions for the separation of dissolved gases and sludge.
The principle of operation of the heating arrow allows stabilizing the hydrodynamic processes in the system. Timely removal of mechanical impurities from the coolant will extend the service life of pumps, valves, meters, sensors, heating devices. By dividing the flows (the heat generator circuit and the independent consumer circuit), the hydraulic arrow ensures maximum use of the fuel combustion heat.
Heating water arrow device
The hydraulic separator is a vertical hollow vessel made of large diameter pipes (square profile) with elliptical plugs at the ends. The dimensions of the separator are determined by the power (kW) of the boiler and depend on the number and volume of circuits.
A heavy metal body is mounted on support legs to prevent line stress on the pipeline. Compact devices are mounted to the wall, placed on brackets.
The branch pipe of the hydraulic arrow and the heating pipeline are connected using flanges or threads.
An automatic air vent valve is located at the top of the body. The sediment is removed through a valve or a special valve, which is cut from the bottom.
The material for the manufacture of the hydraulic arrow is low-carbon or stainless steel, copper, polypropylene. The body is treated with an anti-corrosion compound, covered with thermal insulation.
Important! Polymer models are used in a system that heats a boiler with a capacity of 13 to 35 kW. Polypropylene low loss header is not used for heat generators that run on solid fuels. Making a hydraulic arrow with your own hands from propylene requires experience and skills in working with a professional locksmith and hand-held power tool.
Additional functions of hydraulic arrows
The advanced models combine the functions of a separator, temperature regulator and separator. The thermostatic valve provides a temperature gradient in the secondary circuits. The release of dissolved oxygen from the coolant reduces the risk of erosion of the internal surfaces of the equipment. Removing suspended particles from the stream prolongs the life of the impeller and bearings of circulation pumps.
The photo shows a cutaway model of a water gun for heating:
Horizontal perforated partitions divide the internal volume in half. The supply and return flows touch in the "zero point" zone and slide in different directions without creating additional resistance.
At the top, in the high-temperature zone, there are vertical porous deaeration plates. A sludge collector and a magnetic trap (magnesium anode) are located at the bottom of the housing.
Construction options for the hydraulic arrow: pressure gauge, temperature sensor, thermostat valve and line for powering the system at startup. Complex equipment requires adjustment, regular inspections and maintenance.
The principle of operation of a hydraulic arrow in the heating system of a private house
The coolant flow passes through the separator at a speed of 0.1-0.2 m / s. The boiler pump accelerates hot water up to 0.7-0.9 m / s. The recommended speed limit gives an idea of what the water gun is for heating.
The change in the volume and direction of movement dampens the speed of water flows with minimal loss of thermal energy in the system. Laminar flow movement leads to the fact that there is practically no hydraulic resistance inside the housing. The buffer zone separates the boiler and the consumer circuit. The pump of each of the heating circuits operates autonomously, without disturbing the hydraulic balance.
Hydro arrow circuits for heating (operating mode):
- Neutral operating mode of the hydraulic separator, in which the head, flow rate, temperature and heat energy of the supply - return line correspond to the design parameters of the system. The pumping equipment has sufficient total capacity. Laminar flow movement in the hydraulic arrow provides the processes of deaeration and sedimentation of suspended particles.
- The diagram reflects the principle of operation of the heating arrow, in which the boiler does not have enough power to provide the flow in the secondary circuit. The lack of flow leads to a mixture of cold heat carrier. The difference in flow / return temperatures leads to the activation of temperature sensors. Automation will bring the heat generator to the maximum combustion mode, however, the consumer does not receive enough heat. The heating system is out of balance and there is a risk of heat stroke.

If the boiler is not powerful enough to supply the secondary circuit, there is a risk of thermal shock.
- The volumetric flow of the primary circuit is greater than the flow rate of the heating medium of the dependent circuit. The option in which the boiler operates in optimal mode. When the unit is fired up or the pumps of the secondary circuits are switched off in parallel, the coolant circulates through the hydraulic arrow along the primary (small) circuit. The return temperature, which enters the boiler, is leveled by the mixture from the supply. A sufficient volume of coolant is supplied to the consumer.

The volumetric flow of the primary circuit is greater than the flow rate of the heating medium of the dependent circuit - the boiler is operating in optimal mode
Prerequisite: the capacity of the circulation pump of the primary (boiler) circuit is 10% more than the total maximum head of the pumps in the secondary circuit.
Methods for calculating a hydraulic arrow in the heating system of a private house
How to calculate the hydraulic arrow of the heating system of a private house yourself? You can calculate the required dimensions using the formulas or choose the diameter using the "3D" rule.
- The formula determines the diameter (D) based on the maximum flow rate of the low loss header (calculations according to the boiler passport data):

- The formula determines the diameter of the hydraulic arrow by the power of the heat generator. ΔT temperature difference flow / return - 10 ° C:

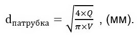
- Diameter of the branch pipe entering the hydraulic arrow or distribution manifold:

| Designation | Decoding the symbol | unit of measurement |
| D | Hydraulic arrow body diameter | mm |
| d | Nozzle diameter | mm |
| P | Maximum power that the boiler has (boiler passport data) | kWh |
| G | Maximum flow (throughput, flow rate) through the hydraulic separator per hour | m3/hour |
| π | Constant value (3.14) | |
| ω | Maximum vertical velocity of the heat carrier through the separator (0.2) | m / sec |
| ΔT | Supply - return temperature difference (boiler passport data) | ° C |
| C | Heat capacity of water (relative unit) | W / (kg ° C) |
| V | Coolant velocity through secondary circuits | m / s |
| Q | Maximum flow rate in the consumer circuit | m3/ h |
Important! The formulas by which the calculation of the hydraulic arrow for heating is made are obtained empirically. The diameter of the inlet pipe to the hydraulic separator corresponds to the diameter of the boiler outlet.
- Determination of the parameters of the hydraulic arrow by a practical method:
The approximate size for small dividers is selected according to the diameter of the inlet (outlet) nozzles. The distance between the inserts is at least 10 choke diameters. The height of the body is much greater than the diameter.
The crankset for heating is used in the selection of large installations. According to the “3d rule”, the body diameter is three nozzle diameters. Distance 3d determines the proportions of the structure.
- Distribution of stubs along the height of the separator column:
If the system does not have a distribution manifold, then the number of tie-ins into the separator is increased. The pipeline connecting the first (boiler) circuit with the hydraulic arrow is distributed in height. The method allows you to adjust the temperature gradient over time. The fulfillment of the condition is necessary for high-quality selection of the coolant by the secondary circuits.
Combining a heating manifold with a hydraulic arrow
Small houses are heated by a boiler with a built-in pump. The secondary circuits are connected to the boiler through a hydraulic arrow. Independent outlines of residential buildings with a large area (from 150 m2) is connected through a comb, the hydraulic separator will be cumbersome.
Related article:
|
The distribution manifold is mounted after the hydraulic arrow. The device consists of two independent parts that connect the jumpers. According to the number of secondary circuits, the pipes located in pairs are cut in.
The distributor comb facilitates the operation and maintenance of equipment. The shut-off and control valves of the heat supply system of the house are located in one place. The increased diameter of the collector ensures an even flow between the individual circuits.
The splitter and the coplanar manifold form the hydraulic module. The compact unit is convenient for the cramped conditions of small boiler rooms.
Mounting outlets are provided for strapping with an asterisk:
- low-pressure floor heating circuit is connected from below;
- high-pressure radiator circuit - from above;
- the heat exchanger is on the side, on the opposite side from the hydraulic arrow.
The figure shows a hydraulic arrow with a manifold. The manufacturing scheme provides for the installation of balancing valves between the supply / return manifolds:
The control valves provide maximum flow and pressure on the circuits far from the hydraulic switch. Balancing reduces the processes of improper throttling of the flow, allows to achieve the calculated supply of the coolant.
Important! An autonomous heating system refers to systems that operate with a high temperature of the medium under pressure (including a hydraulic arrow for heating a private house).
A specialist who has a sufficient stock of knowledge in heat engineering, experience and work skills (electric gas welding, plumbing, work with a hand-held power tool) can make a heating arrow with his own hands. Numerous Internet sites offer step-by-step instructions for making a water arrow for heating, videos can also help in this process.
Theoretical knowledge will help to draw up diagrams and drawings of the heating water gun, to make an individual order of equipment in a specialized organization, to control the work of the contractor. Entrusting the manufacture of critical components of the heating system to non-professionals is dangerous to life and health. It should be remembered that equipment damaged by the owner's fault is not subject to warranty repair and cannot be returned.


















